• Предмет: Алгебра
  • Автор: ermilus07
  • Вопрос задан 8 лет назад

Имеет ли решение система уравнений и сколько

Приложения:

Ответы

Ответ дал: mmb1
0

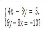
4x - 3y = 5 |*-2

6y - 8x = -10

-----

-8x + 6y = -10

6y - 8х = -10

решений бесконечно много  y = (4x - 5)/3

Вас заинтересует