• Предмет: Математика
  • Автор: 0004cbiiihik000
  • Вопрос задан 8 лет назад

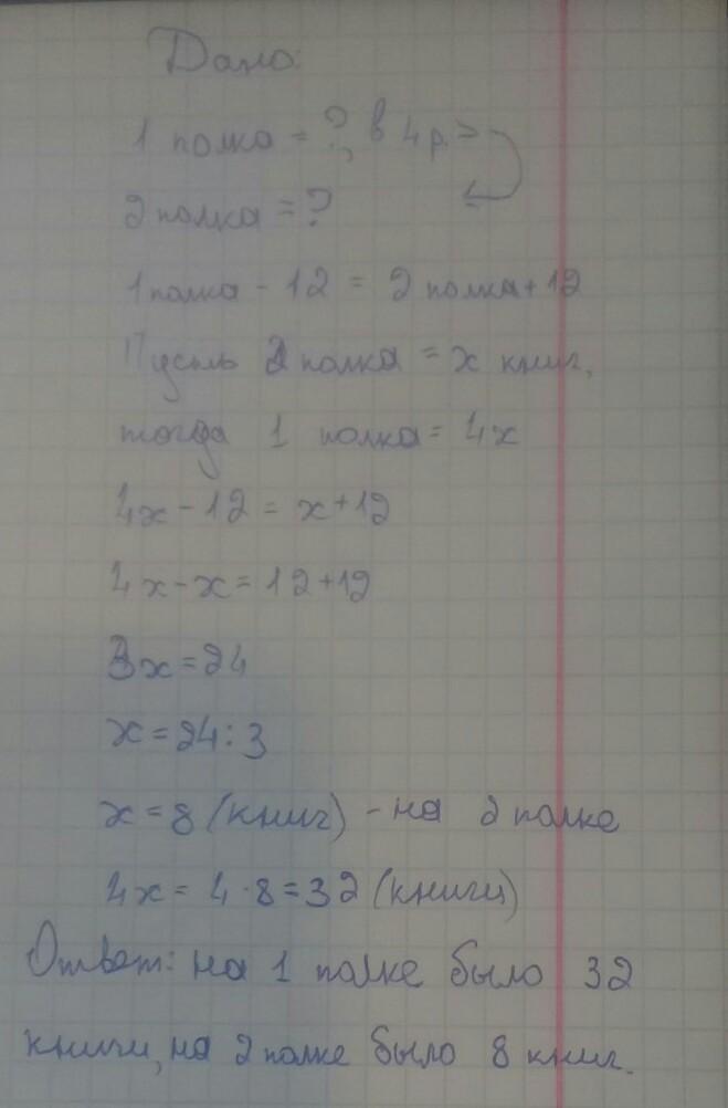
На одной полке книг в 4 раза больше, чем на второй. Если с первой полки 12 книг переставить на вторую полку, то на обеих полках книг станет поровну. Сколько книг было на каждой полке первоначально?

Ответы

Ответ дал: Sashachecun890
0

Ответ:

Пусть на второй полке было х книг. Тогда на первой полке 4х книг.

Составляем уравнение:

х + 16 = 4х - 5;

3х = 21;

х = 7

Итак, на второй полке первоначально было 7 книг, в на первой - 4 • 7 = 28 книг.

Ответ. 28 книг, 7 книг.

Пошаговое объяснение:

Ответ дал: ksenua9082
0

Ответ: на 1 полке было 32 книги, на 2 полке было 8 книг.

Приложения:
Вас заинтересует