• Предмет: Математика
  • Автор: vladbabin2019
  • Вопрос задан 8 лет назад

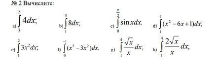
Вычислите:

ОЧЕНЬ СРОЧНО

Приложения:

Ответа на этот вопрос пока нет. Попробуйте найти его через форму поиска.

Вас заинтересует