Стріла вилітає вгору зі швидкістю 40м/с Вона піднімається на висоту80м.Знайти її массу? На яку висоту піднметься стріла з втричі більшою масою?
Ответы
Ответ дал:
0
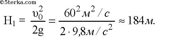
Ответ: відповідь на фото
Приложения:


Вас заинтересует
2 года назад
2 года назад
3 года назад
3 года назад
9 лет назад