• Предмет: Математика
  • Автор: solomiahruba5
  • Вопрос задан 8 лет назад

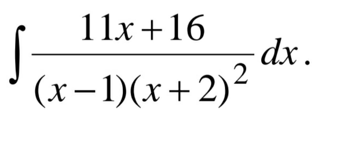
Кто знает как найти неопределенный интеграл,напишите с обьяснением пожалуйста

Приложения:

Ответы

Ответ дал: daniel228798
0

Ответ:

С объяснением вряд-ли помогу но решить могу

Приложения:
Вас заинтересует