• Предмет: Математика
  • Автор: dan021203
  • Вопрос задан 8 лет назад

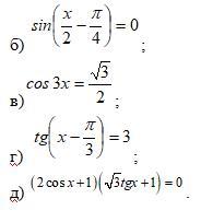
Помогите пожалуйста решить уравнения

Приложения:

Ответы

Ответ дал: mik216
0

Ответ:

Пошаговое объяснение

отметь мое решение как самое правильное, пожалуйста

Приложения:
Вас заинтересует