Ответы
Ответ дал:
0
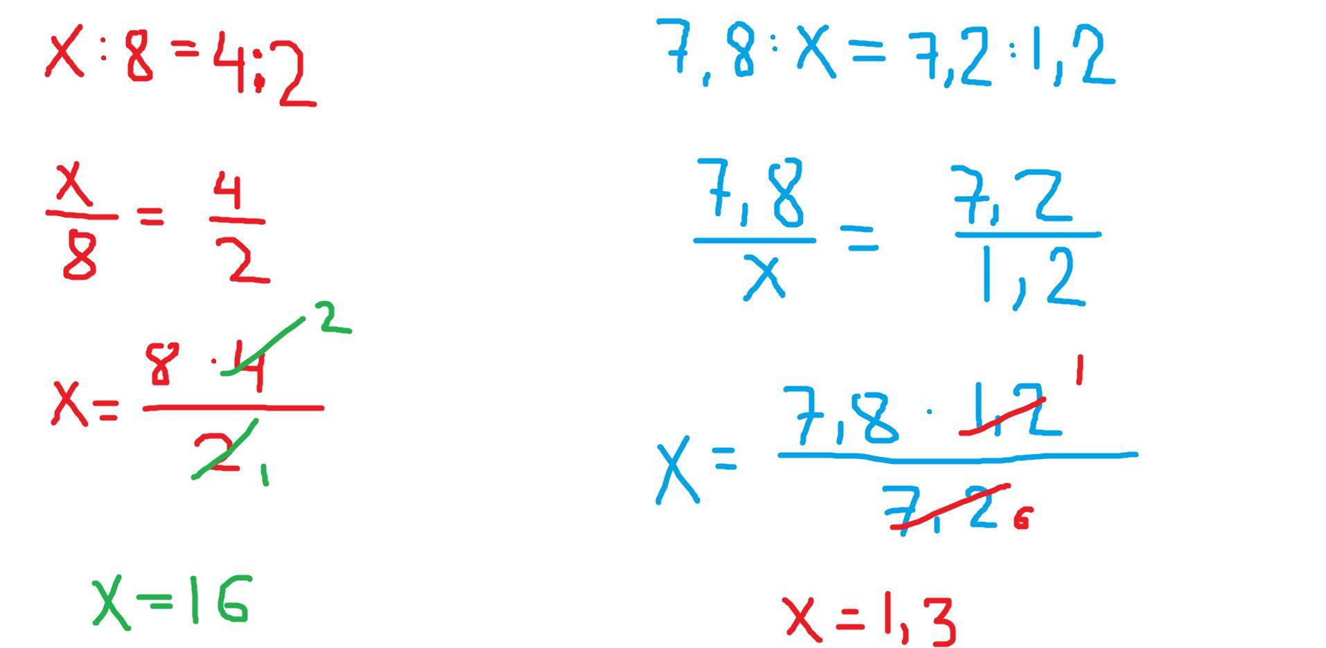
Ответ: х=16; х=1,3
Пошаговое объяснение: на фото)) удачи в учёбе! ↓↓↓
Приложения:

Ответ дал:
0
спс
Ответ дал:
0
спасибооооо
Вас заинтересует
2 года назад
2 года назад
3 года назад
8 лет назад
8 лет назад