• Предмет: Алгебра
  • Автор: chdasha2007
  • Вопрос задан 2 года назад

  Розв’яжіть систему рівнянь:

Приложения:

Ответы

Ответ дал: domiknemo
1

Ответ:

(73/28; 15/14)

Объяснение:

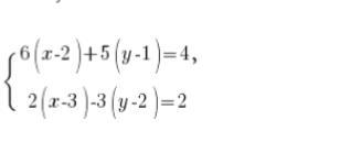
6(х-2)+5(у-1)=4

2(х-3)-3(у-2)=2

Избавься от скобок

6х-12+5у-5=4

2х-6-3у+6=2

Второе уравнение умножь на 3

6х-12+5у-5=4

6х-18-9у+18=6

Отними уравнения

6+14у-23=-2

Реши уравнение с одной переменной

14у=15

у=15/14

Подставь у в одно из уравнений

2х-6-3*15/14+6=2

х=73/28

Вас заинтересует