• Предмет: Математика
  • Автор: annaale01
  • Вопрос задан 8 лет назад

Помогите пожалуйста, срочно надо. Найти рациональные корни многочлена f = 12x^5 - 23x^4 - 27x^3 - 36x^2 - x + 3.

Ответы

Ответ дал: nikebod313
0

Имеем многочлен P_{n}(x) = 12x^{5} - 23x^{4} - 27x^{3} - 36x^{2} - x + 3

Корнями многочлена P_{n}(x) называют корни уравнения

12x^{5} - 23x^{4} - 27x^{3} - 36x^{2} - x + 3 = 0

Имеем уравнение пятого порядка. Попробуем его решить с помощью теоремы Безу.

Суть этой теоремы в том, что если уравнение вида с ненулевым свободным членом имеет некий корень , принадлежащий к множеству целых чисел, то этот корень будет делителем свободного члена.

Выпишем все делители свободного члена: pm 1;  pm 3

Подставим x = 1 в корень уравнения и получим:

12 cdot 1^{5} - 23 cdot 1^{4} - 27 cdot 1^{3} - 36 cdot 1^{2} - 1 + 3 = 0

-72 = 0 — неправда

Подставим x = -1 в корень уравнения и получим:

12 cdot (-1)^{5} - 23 cdot (-1)^{4} - 27 cdot (-1)^{3} - 36 cdot (-1)^{2} - (-1) + 3 = 0

-40 = 0 — неправда

Подставим x = 3 в корень уравнения и получим:

12 cdot 3^{5} - 23 cdot 3^{4} - 27 cdot 3^{3} - 36 cdot 3^{2} - 3 + 3 = 0

0 = 0 — правда

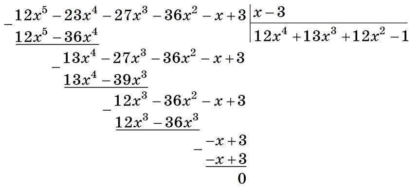
Следовательно, x_{1} = 3 — один из корней уравнения. Теперь необходимо выполнить деление многочлена столбиком на (x - 3) (см. вложение).

После этого исходное уравнение можно записать разложив на множители:

(x - 3)(12x^{4} + 13x^{3} + 12x^{2} - 1) = 0

Решаем второе уравнение:

12x^{4} + 13x^{3} + 12x^{2} - 1 = 0

12x^{4} + 4x^{3} + 9x^{3} + 3x^{2} + 9x^{2} + 3x - 3x - 1 = 0

4x^{3}(3x + 1) + 3x^{2} (3x + 1) + 3x (3x + 1) - (3x + 1) = 0

(3x + 1)(4x^{3} + 3x^{2} + 3x - 1) = 0

(3x + 1)(4x^{3} - x^{2} + 4x^{2} - x + 4x - 1) = 0

(3x + 1)(x^{2}(4x - 1) + x(4x - 1) + (4x - 1)) = 0

(3x + 1)(4x - 1)(x^{2} + x + 1) = 0

left[begin{array}{ccc}3x + 1 = 0      \4x - 1 = 0      \x^{2} + x + 1 = 0end{array}right

left[begin{array}{ccc}x = -dfrac{1}{3} \x = dfrac{1}{4}    \ x notin mathbb{R}   end{array}right

Рациональные корни: -dfrac{1}{3} ;  dfrac{1}{4}

Приложения:
Вас заинтересует