• Предмет: Алгебра
  • Автор: solomiahruba5
  • Вопрос задан 8 лет назад

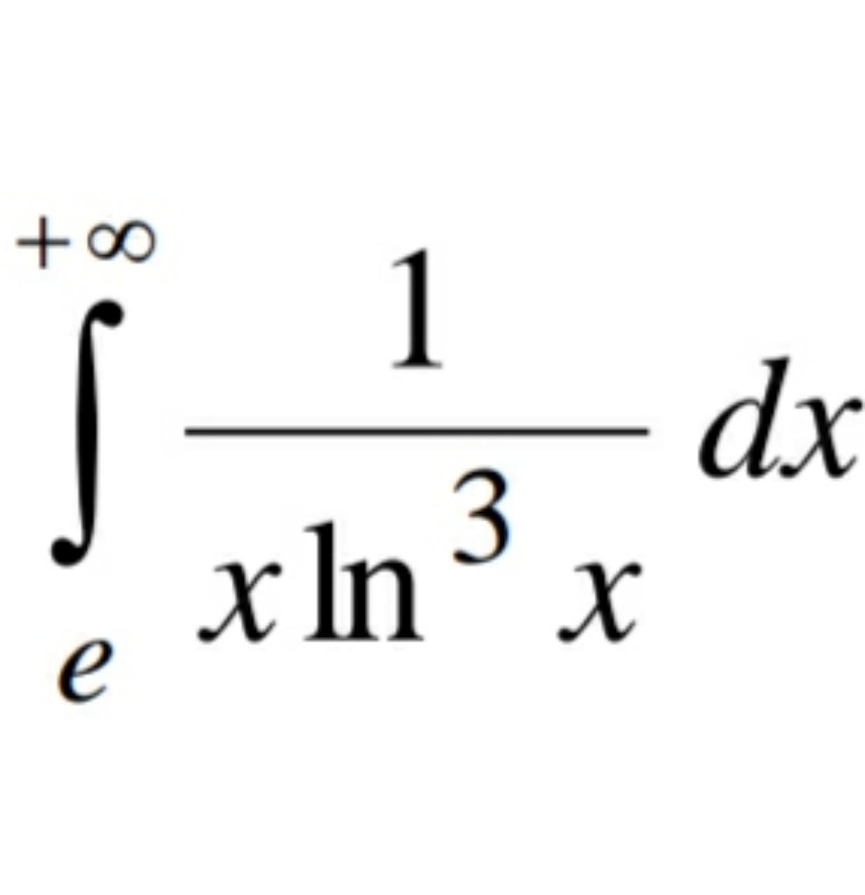
Найти несобственный интеграл,пожалуйста с обьяснением

Приложения:

Ответа на этот вопрос пока нет. Попробуйте найти его через форму поиска.

Вас заинтересует