Путем преобразования подынтегрального выражения найти следующие интегралы(решать все интегралы):
Приложения:
Ответы
Ответ дал:
0
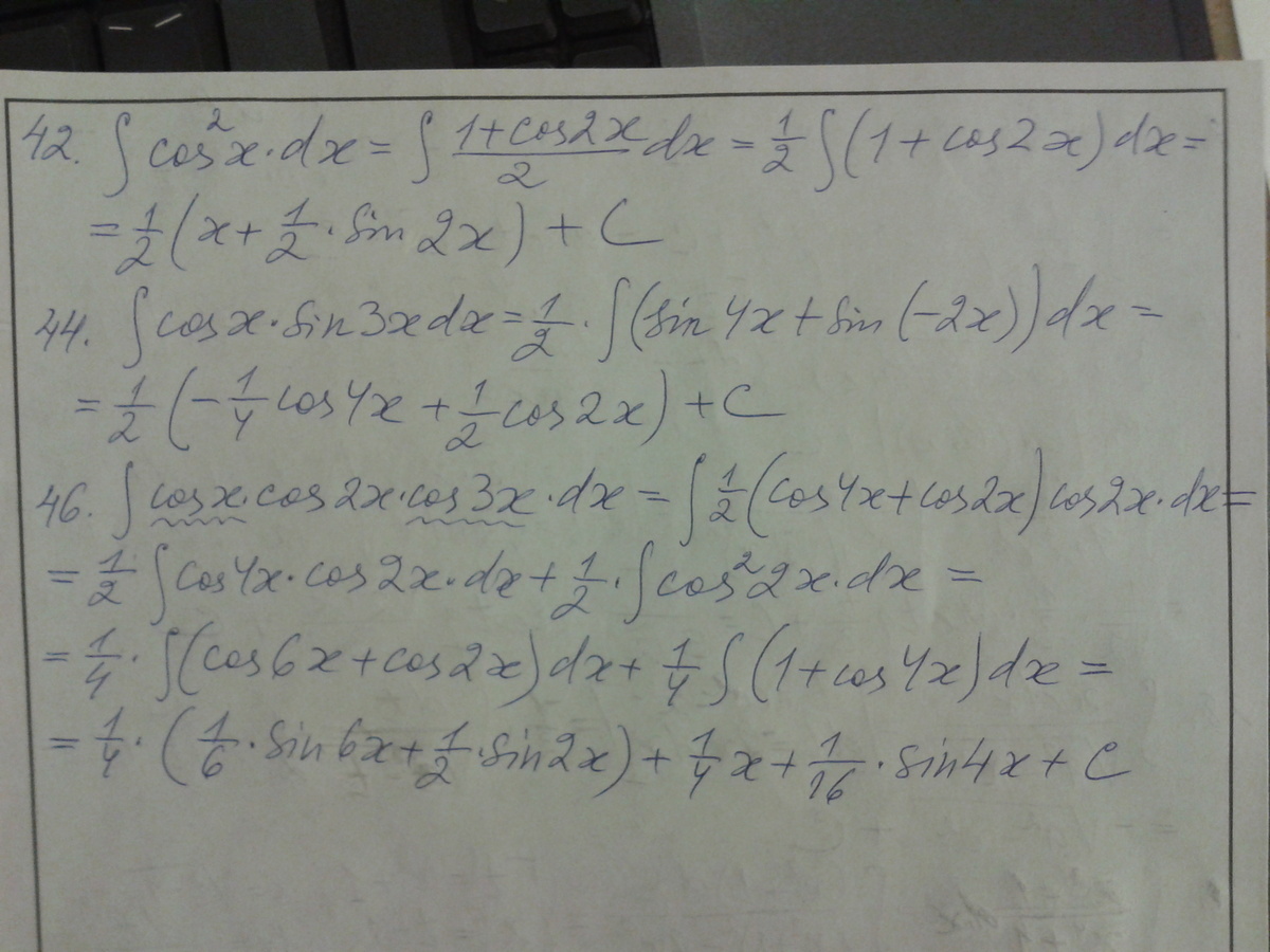
Решение смотри во вложении
Приложения:
Вас заинтересует
3 года назад
3 года назад
8 лет назад
11 лет назад
11 лет назад
11 лет назад
11 лет назад