• Предмет: Алгебра
  • Автор: nno190514
  • Вопрос задан 8 лет назад

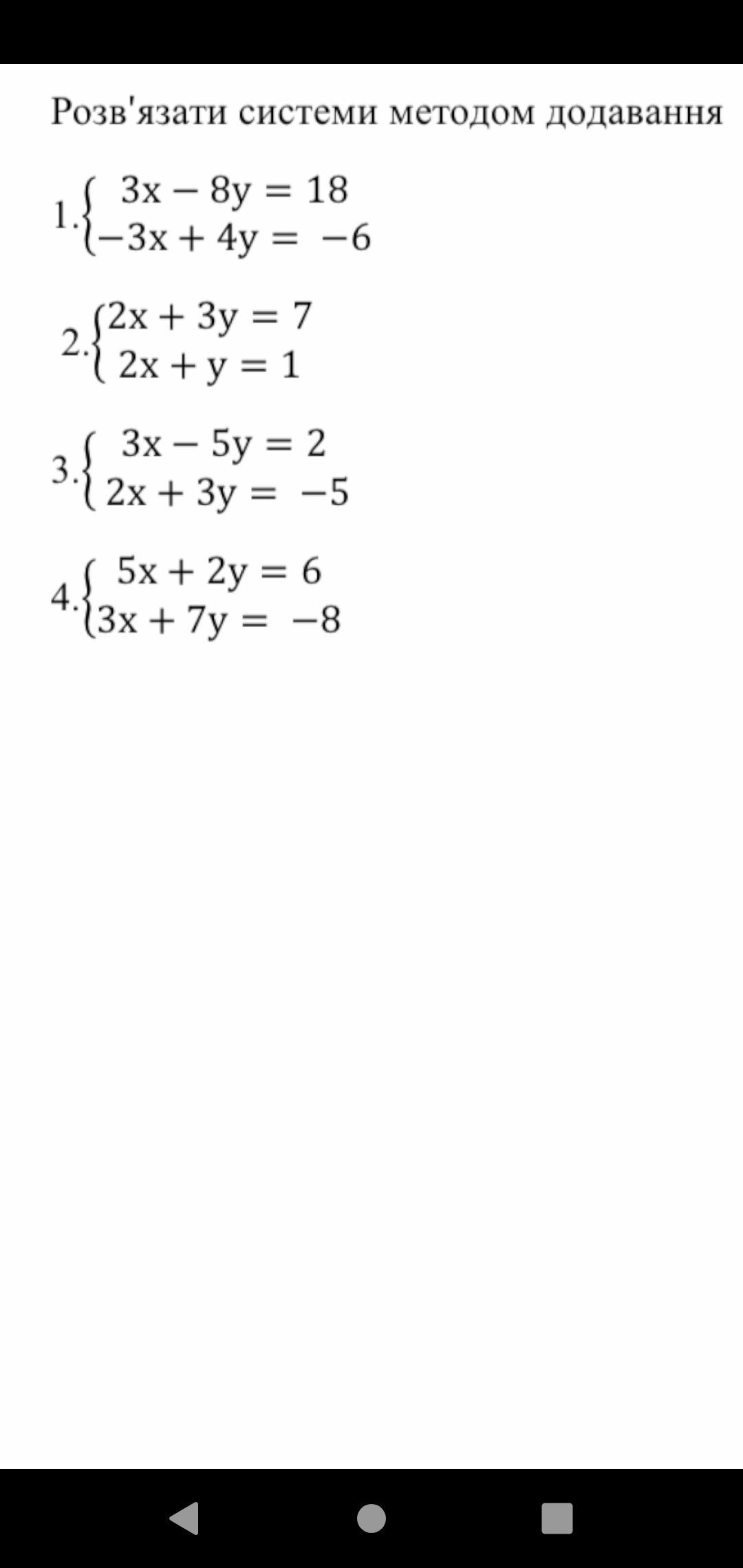
ДАЮ ВСЁ ЧТО ЕСТЬ. АЛГЕБРА. 7 КЛАС. ОЧЕНЬ НАДО. ФУНКЦІЇ МЕТОДОМ ДОДАВАННЯ!!!

Приложения:

Ответа на этот вопрос пока нет. Попробуйте найти его через форму поиска.

Вас заинтересует