• Предмет: Алгебра
  • Автор: PUnkn0wn0
  • Вопрос задан 8 лет назад

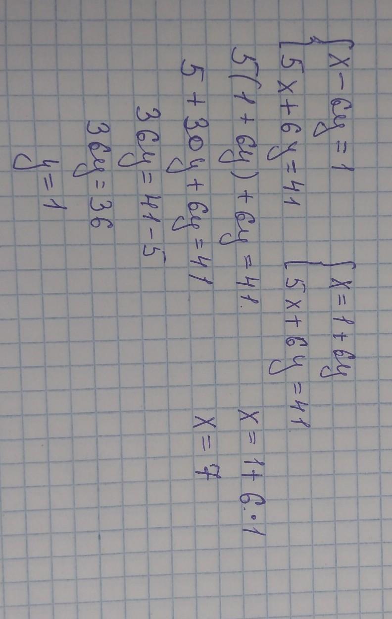
Найдите значение выражения x0+y0, если (x0;y0)- решение системы уравнений x-6y=1 5x+6y=41

Ответы

Ответ дал: nanoonan16th
0

x+y=7+1=8

Ответ:8....

Приложения:
Вас заинтересует