• Предмет: Геометрия
  • Автор: dimon9619
  • Вопрос задан 8 лет назад

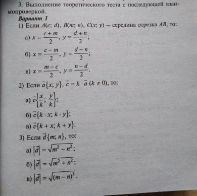
Помогите с тестом по геометрии.

Приложения:

Ответа на этот вопрос пока нет. Попробуйте найти его через форму поиска.

Вас заинтересует