• Предмет: Математика
  • Автор: nazar7521
  • Вопрос задан 8 лет назад

помогите пж очень нужно​

Приложения:

Ответы

Ответ дал: sabirzelenaovz2iy
0

Ответ:

Пошаговое объяснение:

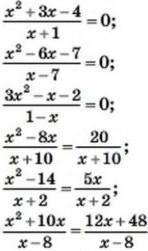
2)

(х²-6х-7)/( х-7)=0.

х-7≠0 ; х≠7.

х²-6х-7=0

х₁₂=3±√(9+7).

х₁=3+4=7. этот корень не подходит, так как делить число на 0 нельзя.

х₂=3-4=-1.

Ответ: х=- 1.

3)

(3х²-х-2)/ (1-х)=0.

1-х≠0. ; х≠1.

3х²-х-2=0.

х₁₂= {1±√(1+4*3*2 ) } / (3*2)

х₁₂=( 1±5)/6.

х₁=1.   этот корнь не подходит.

х₂=( 1-6)/6= -5/6.

Ответ: х=-5/6.

4)

(х²-8х)/ (х+10)= 20/(х+10).

(х²-8х-20)/(х+10)=0.

х+10≠0 ; х≠-10.

х²-8х-20=0.

х₁₂=4±√ (16+20)=4±6.

х₁=10  ;  

х₂=-2.

Ответ: х₁=10 ; х₂=-2.

Вас заинтересует