Математика 11 класс: интеграл и его применение.
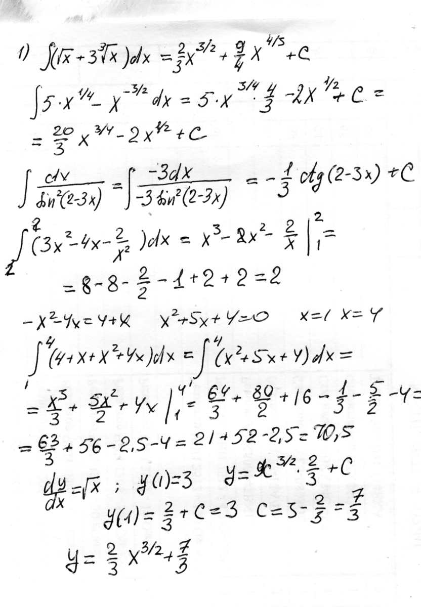
1. Найти общий вид первообразной для функций:
а) ![f(x)= sqrt{x} +3 sqrt[3]{x} <br />
f(x)= sqrt{x} +3 sqrt[3]{x} <br />](https://tex.z-dn.net/?f=f%28x%29%3D+sqrt%7Bx%7D+%2B3+sqrt%5B3%5D%7Bx%7D+%26lt%3Bbr+%2F%26gt%3B%0A)
б) ![f(x)=5*sqrt[4]{x} - frac{1}{x sqrt{x} } f(x)=5*sqrt[4]{x} - frac{1}{x sqrt{x} }](https://tex.z-dn.net/?f=f%28x%29%3D5%2Asqrt%5B4%5D%7Bx%7D+-+frac%7B1%7D%7Bx+sqrt%7Bx%7D+%7D+)
2. Найти 
3. Вычислить интеграл 
4. Вычислить площадь фигуры, ограниченной линиями: 
5. Найти решение дифференцированного уравнения, которое удовлетворяет условию: 
Помогите, пожалуйста решить. Заренее спасибо!
Ответы
Ответ дал:
0
Решение:
Смотри вложение:.......
Смотри вложение:.......
Приложения:
Вас заинтересует
3 года назад
3 года назад
8 лет назад
8 лет назад
11 лет назад
11 лет назад