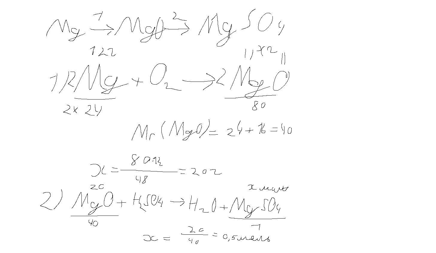
Обчисліть кількість речовини магній сульфату яку можна одержати з магнію масою 12 г, за схемою:
Mg →MgO→ MgSО4
Ответы
Ответ дал:
0
Ответ:Держи
Объяснение:
Приложения:

Вас заинтересует
2 года назад
3 года назад
3 года назад
8 лет назад
9 лет назад