• Предмет: Математика
  • Автор: sigacos313
  • Вопрос задан 8 лет назад

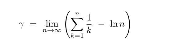
Является ли γ рациональной? пж помогите 5 класс

Приложения:

Ответы

Ответ дал: Virator228
0

Ответ:

Рациональные числа можно записать в виде p/q, где p и q — целые числа. Таким образом, 42 и -11/3 являются рациональными, а и √2 — нет.

Пошаговое объяснение:

Формула выше позволяет вычислить постоянную, которая является пределом разности между частичной суммой гармонического ряда и натуральным логарифмом числа. За определение ее рациональности миллион долларов, конечно, не светит, зато вполне можно рассчитывать на кресло профессора в Оксфорде.

Вас заинтересует