• Предмет: Алгебра
  • Автор: garhqethert
  • Вопрос задан 8 лет назад

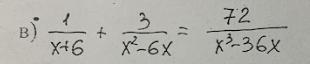
55 баллов | Решить одно уравнение |
На листочке

Приложения:

Ответы

Ответ дал: glxui
0

Ответ:

9

Объяснение:

..................................

Приложения:
Ответ дал: dianna5946
0

Ответ:

вот решение, надеюсь помогла

Приложения:
Вас заинтересует