Ответы
Ответ дал:
0
Ответ: номер 2 - 28 кв. ед. номер 1 - ? без понятия
Пошаговое объяснение:
Ответ дал:
0
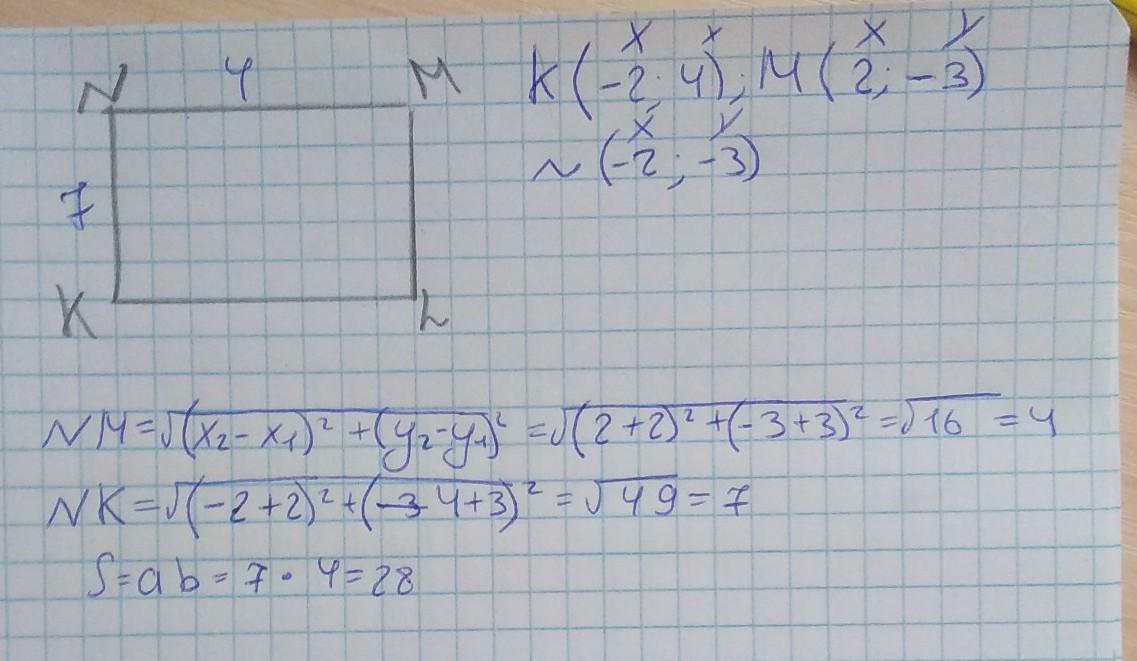
Ответ:
г) 28 кв.ед
номер один правильно.
Пошаговое объяснение:
объяснение в приложении.
Приложения:

Ответ дал:
0
Я перевела...извините за наглость ,но я не понимаю как это решить
Вас заинтересует
2 года назад
2 года назад
3 года назад
3 года назад
8 лет назад
9 лет назад