• Предмет: Алгебра
  • Автор: barianagerniak
  • Вопрос задан 8 лет назад

ПОМОГИТЕ СРОЧНО ПОЖАЛУЙСТА!!!ДАЮ 25 БАЛЛОВ
Решить графически систему уравнений:
х – у = -1;
2х + у = 4.
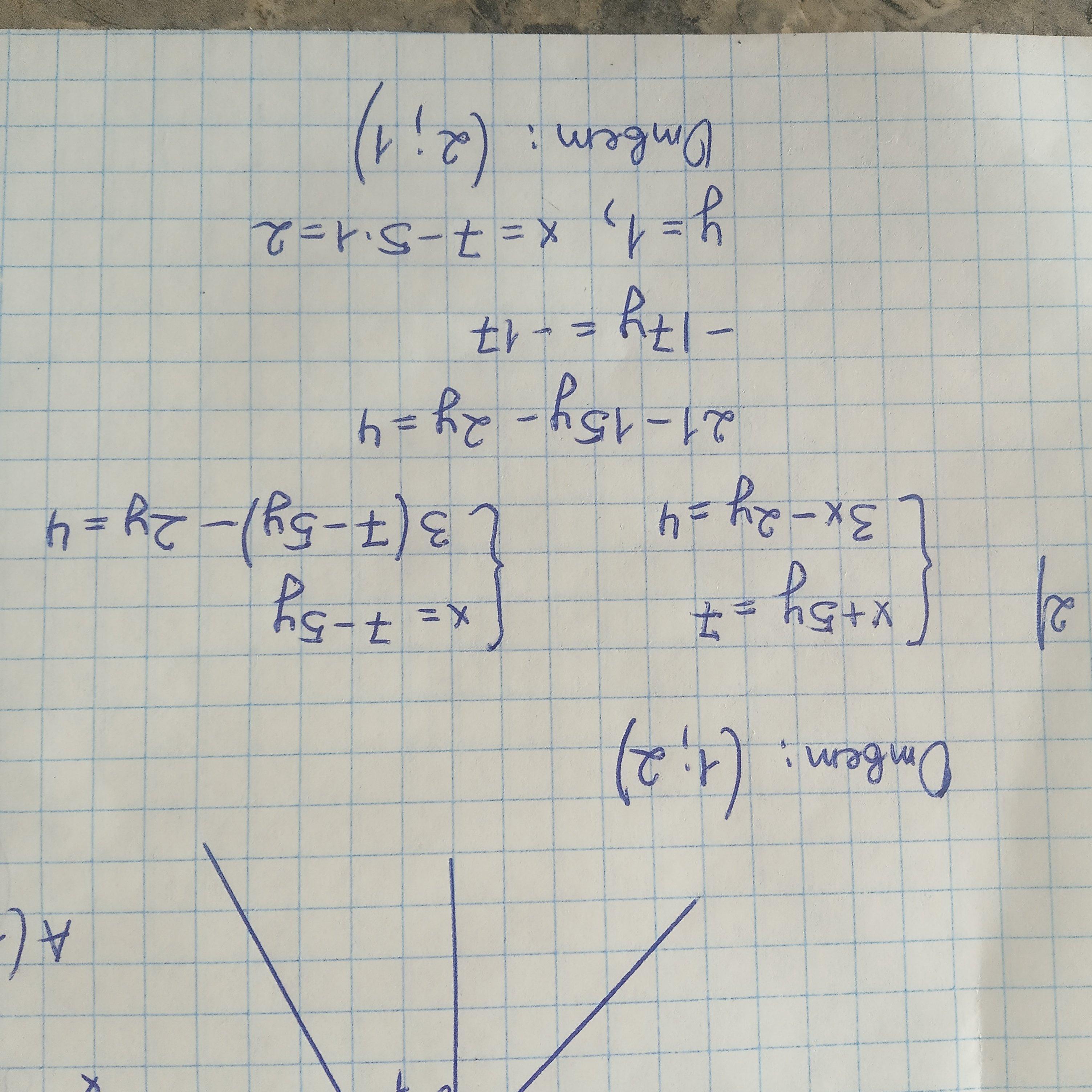
2. Решить систему способом подстановки:
х + 5у = 7;
3х – 2у = 4.
3. Решить систему способом сложения:
2х + 5у = 25;
4х + 3у = 15.
4. Решить задачу с полным объяснением:
Из 14м ткани можно сшить 4 мужских и 2 детских пальто. Сколько метров ткани необходимо для пошива одного мужского и одного детского пальто, если из 15м той же ткани можно сшить 2 мужских и 6 детских пальто?
(ЭТО ВСЕ 3 ПЕРВЫЕ ЗАДАНИЯ СИСТЕМА УРАВНЕНИЙ)

Ответы

Ответ дал: liudmylalllk
0

Ответ: смотреть фото

Объяснение:

Приложения:
Вас заинтересует