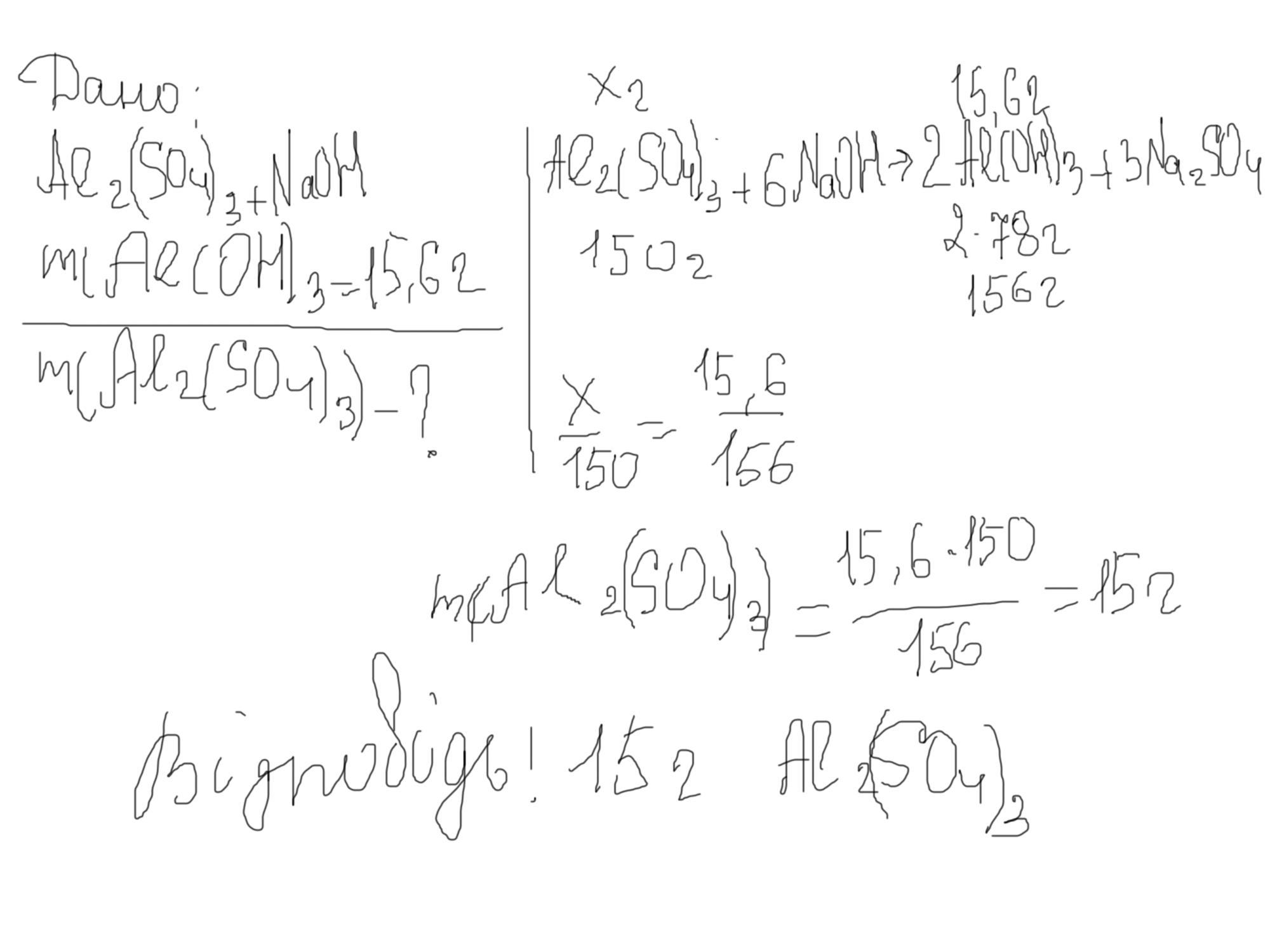
Алюміній сульфат взаємодіє з натрій гідроксидом. Обчисліть, яку масу вихідної солі треба взяти, щоб добути алюміній гідроксид масою 15,6 грам?
Допоможіть, будь ласка, вона мене заріже
ДАЮ 25 БАЛІВ
Ответы
Ответ дал:
0
Відповідь: 15 г Al2(SO4)3
Приложения:

Вас заинтересует
2 года назад
2 года назад
3 года назад
3 года назад
8 лет назад
9 лет назад