Конденсатор ёмкостью 800мкФ включён в сеть переменного тока с частотой 50 Гц с помощью проводов, сопротивление которых 3 Ом. Какова сила тока в конденсаторе, если напряжение в сети 120 В. Ответ дайте пожалуйста в ввиде решения с начальными формуламии потом решиние само!=)
Ответы
Ответ дал:
0
.извини что то не то
Ответ дал:
0
Решение сможите дать?!
Ответ дал:
0
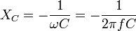
Находим ёмкостное сопротивление конденсатора.
Находим полное сопротивление.
Делим напряжение на сопротивление получаем ток.(см картинки)(подставь и все)
Находим полное сопротивление.
Делим напряжение на сопротивление получаем ток.(см картинки)(подставь и все)
Приложения:
Вас заинтересует
3 года назад
3 года назад
8 лет назад
11 лет назад
11 лет назад