• Предмет: Алгебра
  • Автор: katekatedoll
  • Вопрос задан 8 лет назад

Помогите пожалуйста, срочно решить задание по математике! 40Б

Приложения:

Ответы

Ответ дал: Universalka
0

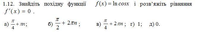
f(x)=lnCosx\\f'(x)=(lnCosx)'=frac{1}{Cosx}*(Cosx)'=frac{1}{Cosx}*(-Sinx)=-frac{Sinx}{Cosx}=-tgx\\f'(x)=0Rightarrow -tgx=0\\tgx=0\\x=pi n,nin Z\\

ОДЗ :

Cosx>0\\-frac{pi }{2}+2pi n<x<frac{pi }{2}+2pi n,nin Z\\Otvet:boxed{0}

Вас заинтересует