Ответы
Ответ дал:
0
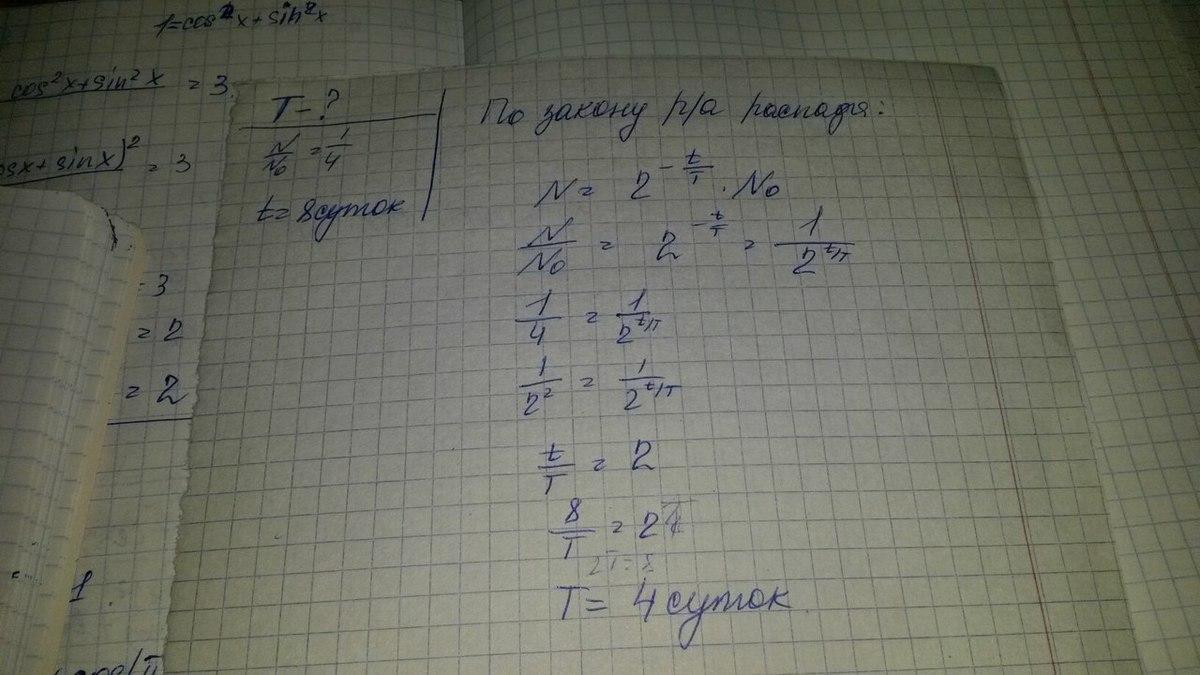
Ответ: 5 суток
ну как так
это пример
в внизу
Приложения:

Ответ дал:
0
Ответ:
5 диб
Объяснение:
За каждый период пиврозпаду число уменьшается в 2 раза. Значит, если за 10 дiб його активнiсеш зменшилась у 4 рази, то период пиврозпаду равен 5 диб
Приложения:

Вас заинтересует
2 года назад
2 года назад
3 года назад
3 года назад
8 лет назад
8 лет назад
9 лет назад