Ответы
Ответ:
Объяснение:
Математическая индукция — метод математического доказательства, который используется, чтобы доказать истинность некоторого утверждения для всех натуральных чисел.
Для этого сначала проверяется истинность утверждения с номером 1 — база (базис) индукции, а затем доказывается, что если верно утверждение с номером n, то верно и следующее утверждение с номером n + 1 — шаг индукции, или индукционный переход.


https://znanija.com/task/36577873
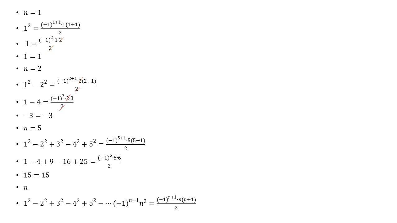
Используя метод математической индукции докажите следующее утверждение 1² - 2² +3²- 4² +5 ²- 6²+ ...(-1)ⁿ ⁺¹*n²=(-1)ⁿ ⁺¹ *n(n+1)/2.
Объяснение:
1² - 2² +3²- 4² +5 ²- 6²+ ...(-1)ⁿ ⁺¹*n²=(-1)ⁿ ⁺¹ *n(n+1)/2.
1. n =1 верно действительно (-1)¹ ⁺¹*1²= 1 и (-1)¹ ⁺¹*1(1+1)/2 = 1.
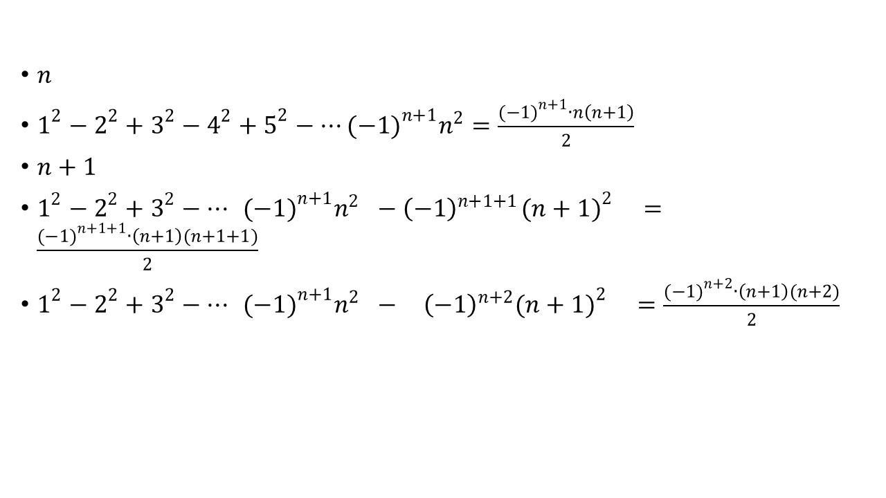
2. допустим верно при n =k т.е.
1² - 2² +3²- 4² +5 ²- 6²+ ...(-1)^(k+1)*k² = (-1)^(k+1) * k(k+1)/2.
3. докажем верно и при n =k+1
1² - 2² +3²- 4² +5 ²- 6²+ ...(-1)^(k+1)*k² ....(-1)^(k+2)*(k+1)² =
(-1)^(k+1) * k(k+1)/2 + (-1)^(k+1+1 )*(k+1)² =(-1)^(k+1) *( (k(k+1)/2 - (k+1)² ) =
(-1)^(k+1) *( (k(k+1) -2(k+1)² ) /2 =(-1)^(k+1) *( k²+k -2k²-4k-2 ) /2 =
(-1)^(k+1) *( - k²-3k -2 ) /2 =(-1)^(k+2) *( k²+3k +2 ) /2 =
(-1)^(k+2) *(k+1)(k+2) /2 сохранил свой вид → утверждение верно

