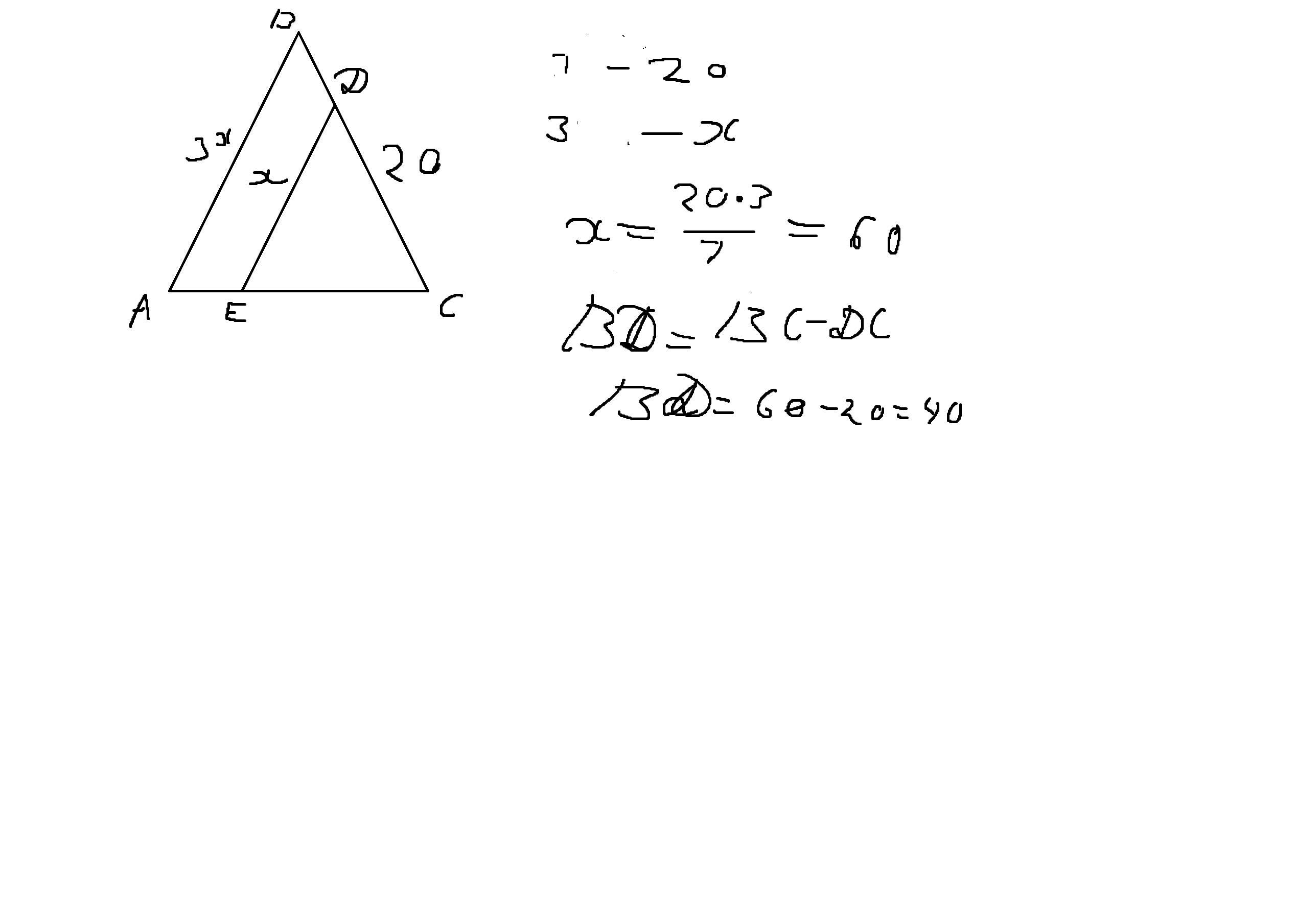
Сторони AB і DE трикутників ABC і cde зображених на рисунку паралельні DE= 1/3 AB. CD дорівнює 2 см яка довжина відрізка BD
Ответы
Ответ дал:
0
Ответ:Держи
Объяснение:
Приложения:

Вас заинтересует
3 года назад
3 года назад
8 лет назад
8 лет назад
9 лет назад
9 лет назад