• Предмет: Алгебра
  • Автор: AndrewBolt
  • Вопрос задан 8 лет назад

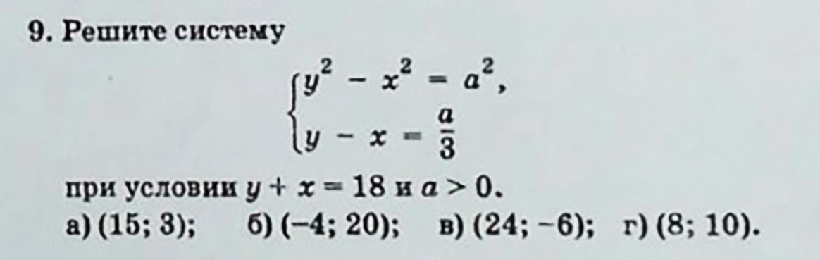
Помогите решить систему, нужен полное решение, не только ответ.

Приложения:

Ответа на этот вопрос пока нет. Попробуйте найти его через форму поиска.

Вас заинтересует