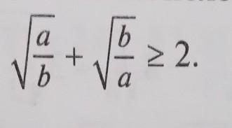
282. Доказать с помощью неравенства между средним арифметичес-
ким и средним геометрическим, что для любых положительных
чисел а и b выполняется неравенство. Срочно помогите пожалуйста.
Приложения:

Ответа на этот вопрос пока нет. Попробуйте найти его через форму поиска.
Вас заинтересует
2 года назад
2 года назад
3 года назад
3 года назад
8 лет назад
8 лет назад
9 лет назад