• Предмет: Алгебра
  • Автор: katasergienko922
  • Вопрос задан 8 лет назад

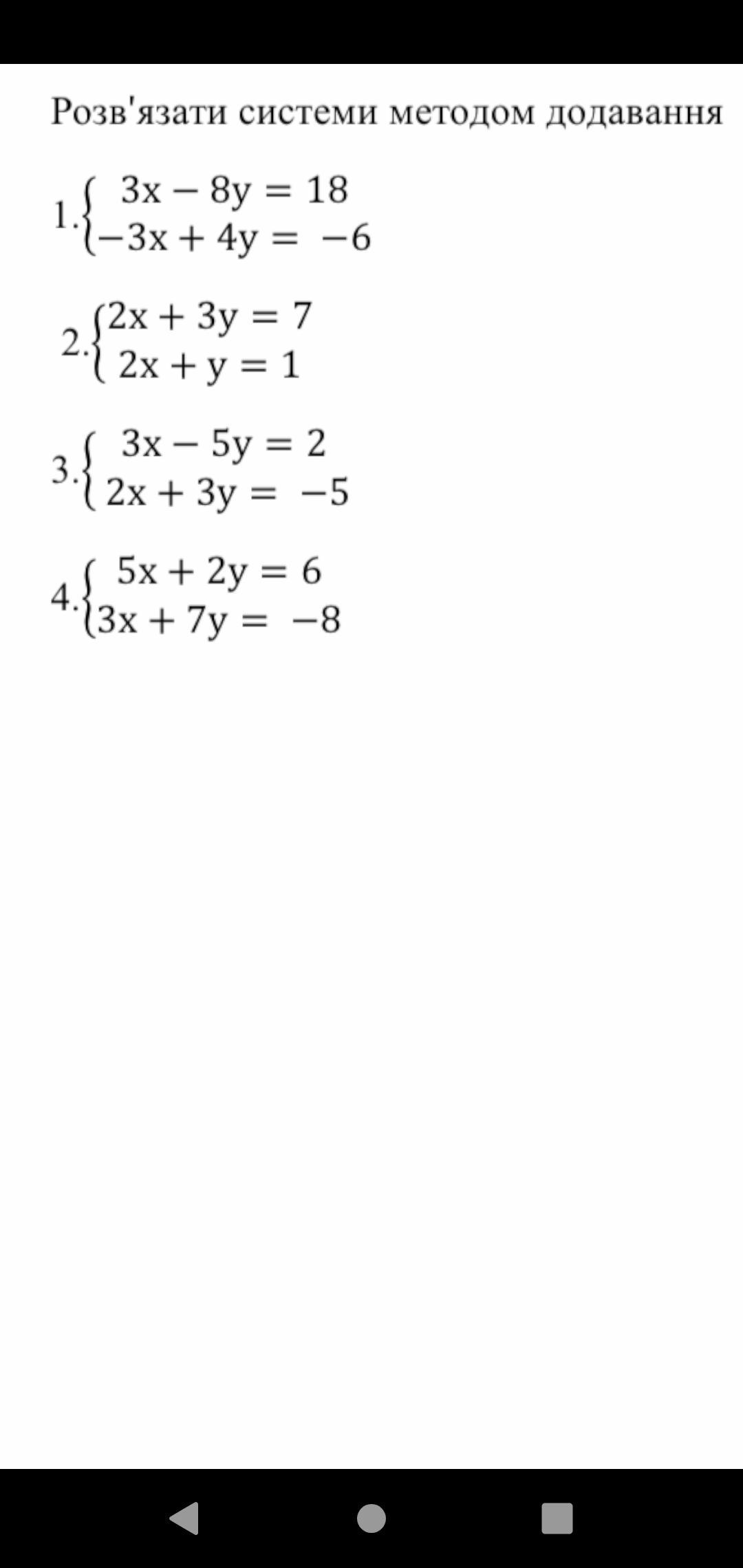
Аааааааааааааааааааааааааааааа спасите пожалуйста! Отдаю всё что есть. Алгебра 7 клас срочно! Функции "методом додавання"

Приложения:

Ответа на этот вопрос пока нет. Попробуйте найти его через форму поиска.

Вас заинтересует