• Предмет: Алгебра
  • Автор: makadela0
  • Вопрос задан 8 лет назад

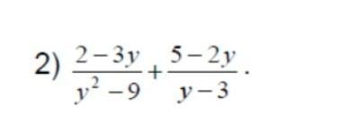
Выполни действие:
пожалуйста срочно!!! ​

Приложения:

Ответы

Ответ дал: mishkaparaskevopulos
0

Ответ:

-2у^2-4у+17

_________

у^2-9

Ответ дал: kovbelsasha
0

Ответ:

Объяснение:

-2у^2-4у+17

________

у^2-9

Вас заинтересует