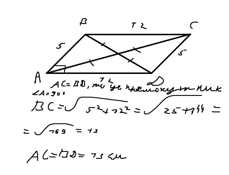
сторони паралелограма дорівнюють 5 см і 12 см. знайдіть діагоналі паралелограма, якщо відомо, що вони рівні.
Помогите пожалуйста!
Zoen:
Помогите мне пожалуйста! В моих вопросах самый последний вопрос!
Ответы
Ответ дал:
7
Ответ:Держи
Объяснение:
Приложения:

Вас заинтересует
1 год назад
1 год назад
3 года назад
3 года назад
8 лет назад
8 лет назад