Ответы
Ответ дал:
0
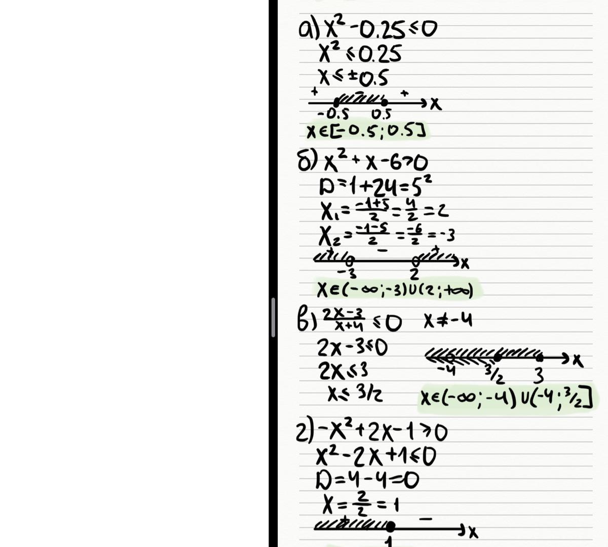
Привет, решение во вложении. Пожалуйста, не забудь потом отметить мой ответ как лучший :)
Приложения:

Вас заинтересует
2 года назад
2 года назад
3 года назад
8 лет назад