Помогите пожалуйста!!!
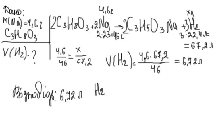
Розрахуйте об'єм (н.у) водню, який виділиться в результаті взаємодії 4,6г натрію з гліцерином.
Ответы
Ответ дал:
0
Відповідь: 6,72 л H2
Приложения:
Вас заинтересует
2 года назад
2 года назад
3 года назад
3 года назад
9 лет назад
9 лет назад
10 лет назад