• Предмет: Математика
  • Автор: BloodyClaw
  • Вопрос задан 8 лет назад

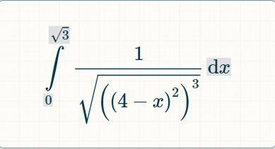
определённый интеграл

Приложения:

Ответа на этот вопрос пока нет. Попробуйте найти его через форму поиска.

Вас заинтересует
3 года назад