Дам 100 баллов!!!
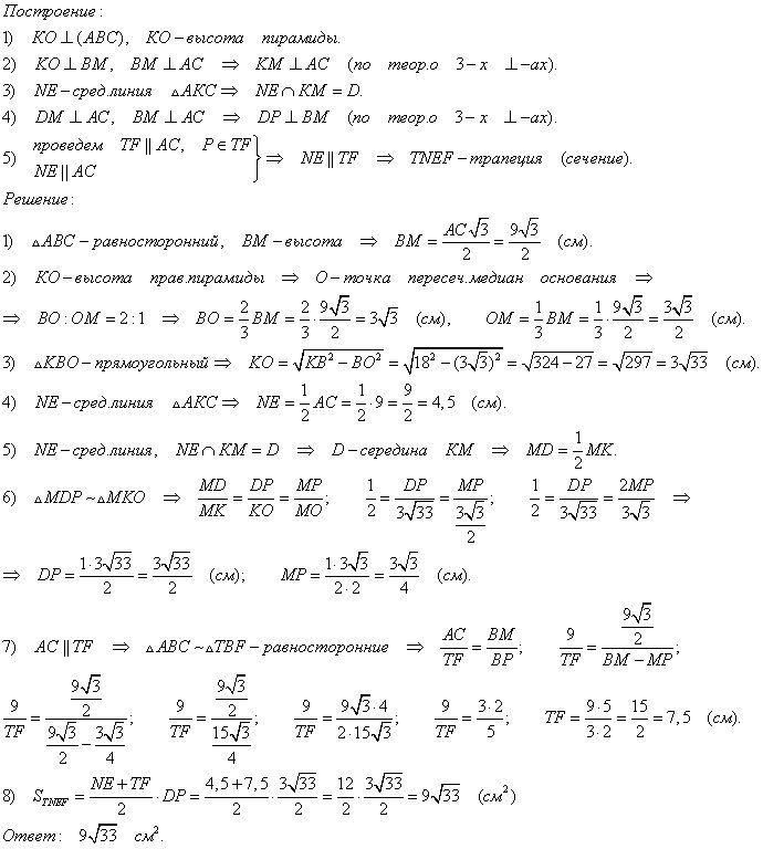
В правильной треугольной пирамиде сторона основания равна 9 см боковое ребро 18 см. Найдите площадь сечения проведенного через середины двух смежных боковых реббер перпендикулярно основанию пирамиды....
Evklid325:
какой класс?
Ответы
Ответ дал:
3
Доброго времени суток! Ответ во вложении.
Приложения:


Вас заинтересует
1 год назад
1 год назад
1 год назад
1 год назад
3 года назад
3 года назад