• Предмет: Алгебра
  • Автор: vanarakovin
  • Вопрос задан 8 лет назад

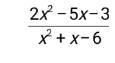
Срочно!!! даю 30 баллов!!!! сократить дробь!!!!

Приложения:

Ответа на этот вопрос пока нет. Попробуйте найти его через форму поиска.

Вас заинтересует