2.Электрон в вакуумном диоде проходит ускоряющую разность потенциалов 450В за 1,5 нс. Найти расстояние между анодом и катодом, если v0=0, движение равноускоренное.
3.Электрон влетает в плоский конденсатор параллельно пластинам, длина которых 40мм, и при этом отклоняется на 1мм. Какова скорость электронов , если напряженность поля между пластинами конденсатора 16кВм?
Ответы
Ответ дал:
0
Ответ:
Дано:
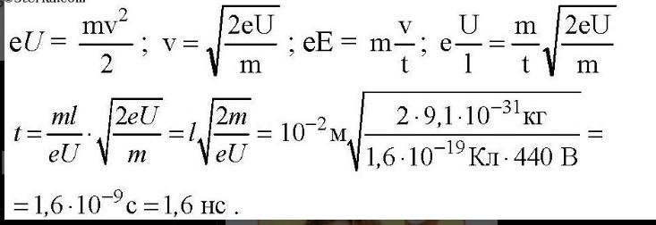
Первая картина, сначало найти t
Решение:
Вторая картина, решение t=1,6 нс.
Приложения:


Вас заинтересует
2 года назад
3 года назад
3 года назад