• Предмет: Алгебра
  • Автор: xxxilluminatixxxm
  • Вопрос задан 8 лет назад

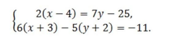
Розв’яжіть систему рівнянь з поясненням​

Приложения:

Ответа на этот вопрос пока нет. Попробуйте найти его через форму поиска.

Вас заинтересует