• Предмет: Алгебра
  • Автор: nikarubanov
  • Вопрос задан 8 лет назад

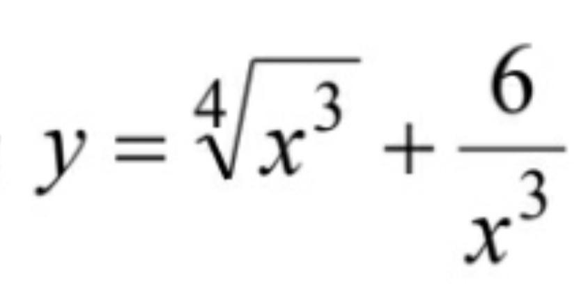
производная функция (см файл) имеет вид...

Приложения:

Ответы

Ответ дал: acre4cko2015
0

Ответ:

y^{'}=frac{3}{4sqrt[4]{x} }-frac{18}{x^{4} }

Объяснение:

y^{'}=frac{d}{dx}(sqrt[4]{x^{3} }+frac{6}{x^{3}})

y^{'}=frac{d}{dx}(x^{frac{3}{4}}+frac{6}{x^{3}})

y^{'}=frac{d}{dx}(x^{frac{3}{4}})+frac{d}{dx} (frac{6}{x^{3}})

y^{'}=frac{3}{4}x^{-frac{1}{4}}-6*frac{3x^{2} }{(x^{3})^{2}}

y^{'}=frac{3}{4sqrt[4]{x}}-frac{18}{x^{4}}

Ответ дал: sangers1959
0

Ответ:

Объяснение:

y=sqrt[4]{x^{3} } +frac{6}{x^{3} }=x^{frac{3}{4} }  +6*x^{-3}.\ y'=(x^{frac{3}{4} }  +6*x^{-3})'=frac{3}{4}* x^{frac{3}{4}-1 }+6*(-3)*x^{-3-1}  =\=frac{3}{4}*x^{-frac{1}{4} } -18*x^{-4} =frac{3}{4*sqrt[4]{x} } -frac{18}{x^{4} } .

Вас заинтересует