• Предмет: Математика
  • Автор: nikarubanov
  • Вопрос задан 8 лет назад

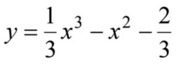
Наименьшее значение функции (см файл)
на отрезке [-1;1] равно

Приложения:

Ответы

Ответ дал: DaSh015
0

Ответ:

-2/3

Пошаговое объяснение:

f(x) = 1/3x^3 - x^2 - 2/3

Находим производную:

f'(x) = x^2 - 2x

Критические точки:

x^2 - 2x = 0

x = 0; 2

В этих точках функция f(x) имеет своё наибольшее или наименьшее значение. Найдём эти значения.

Если x = 0:

y = 1/3 * 0 - 0 - 2/3

y = -2/3

Если x = 2:

y = 1/3 * 2^3 - 2^2 - 2/3

y = 8/3 - 4 - 2/3

y = 6/3 - 12/3

y = -2

Значит в точке x = 0 функция принимает наибольшее значение, а в точке x = 2 наименьшее. Следовательно, на отрезке [-1; 1] наибольшее значение функция примет в точке x = 0. Это значение мы уже нашли (y = -2/3).

Вас заинтересует