Ответы
Ответ дал:
0
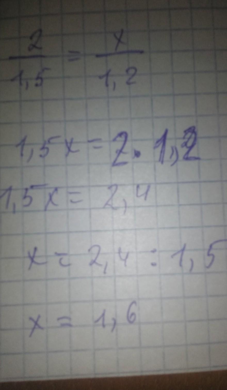
Вот, решение на фотографии
Приложения:

Ответ дал:
0
Ответ:1,6
Пошаговое объяснение:
2:1,5=1,(3)
х=1,(3)*1,2=1,6
Приложения:

Вас заинтересует
3 года назад
3 года назад
8 лет назад
8 лет назад
9 лет назад