• Предмет: Математика
  • Автор: LTAARFNEGAYA
  • Вопрос задан 8 лет назад

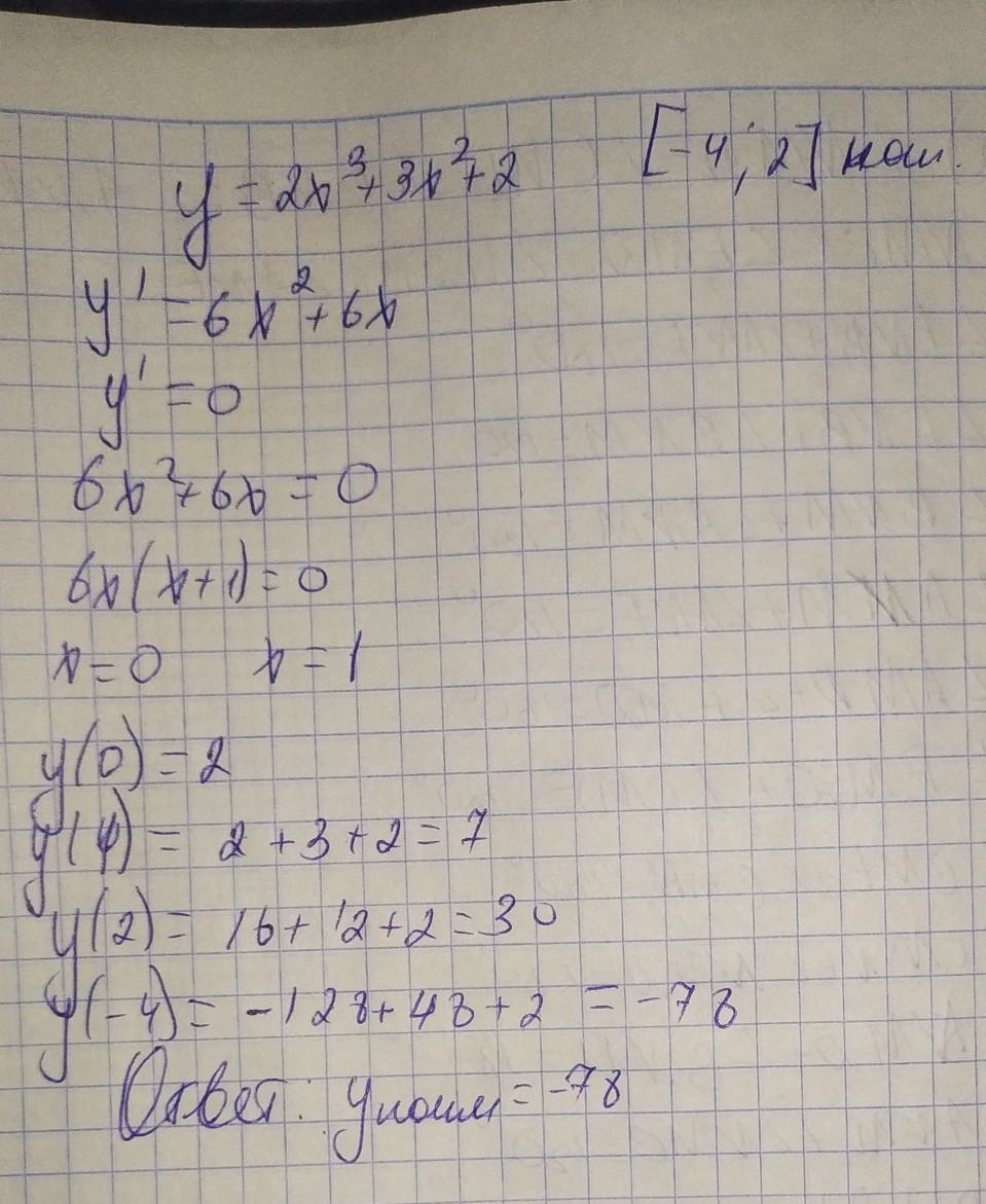
Найдите наименьшее значение функции f (х) = 2x^{3}+3x^{2}+2 на отрезке [-4;2]

Ответы

Ответ дал: diana090103
0

Ответ:

Вот такое решение данной задачи

Приложения:
Вас заинтересует