• Предмет: Алгебра
  • Автор: julia36487
  • Вопрос задан 8 лет назад

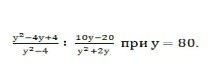
Найдите значение выражения:
Помогите пожалуйста!!!!!​

Приложения:

Ответа на этот вопрос пока нет. Попробуйте найти его через форму поиска.

Вас заинтересует