• Предмет: Математика
  • Автор: Volodyaneuch
  • Вопрос задан 8 лет назад

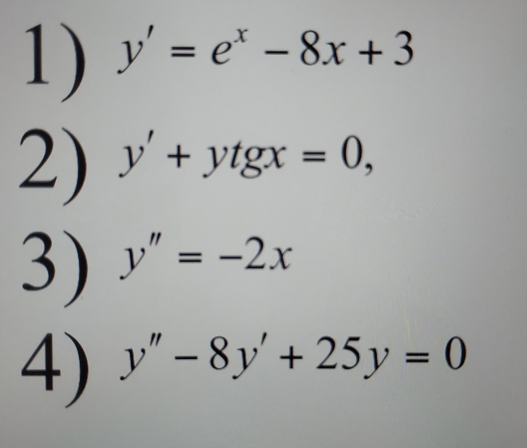
Решите . Срочно пожалуйста

Приложения:

Ответа на этот вопрос пока нет. Попробуйте найти его через форму поиска.

Вас заинтересует