Ответы
Ответ дал:
0
4,625
Вроде такой ответ
Вроде такой ответ
Ответ дал:
0
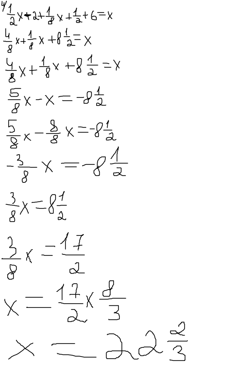
Старалась, как могла хах, но решение правильное. Если что непонятно, спрашивай
и в предпоследней строке между дробями знак умножить, а не X, если что :)
и в предпоследней строке между дробями знак умножить, а не X, если что :)
Приложения:
Вас заинтересует
3 года назад
3 года назад
8 лет назад
11 лет назад
11 лет назад
11 лет назад