• Предмет: Алгебра
  • Автор: romashevchenko007
  • Вопрос задан 8 лет назад

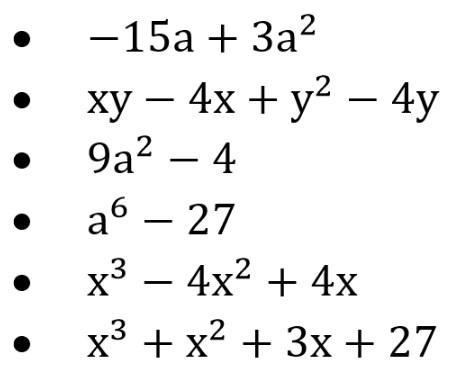
Разложите многочлены на множители

Приложения:

Ответы

Ответ дал: Мозгокошка
0
  • -15а+3а²=-3а(5-а)
  • ху-4х+у²-4у=у(х+у)-4(х+у)=(х+у)(у-4)
  • 9а²-4=(3а-2)(3а+2)
  • а^6-27=(а²)³-3³=(а²-3)(а⁴+3а²+9)
  • х³-4х²+4х=х(х²-4х+4)=х(х-2)²=х(х-2)(х-2)
  • х³+х²+3х+27=(х³+3³)+(3х+х²)=(х+3)(х²-3х+9)+х(3+х)=(х+3)(х+х²-3х+9)=(х+3)(х²-2х+9)
Вас заинтересует