• Предмет: Геометрия
  • Автор: scp1199
  • Вопрос задан 8 лет назад

срочно!!!
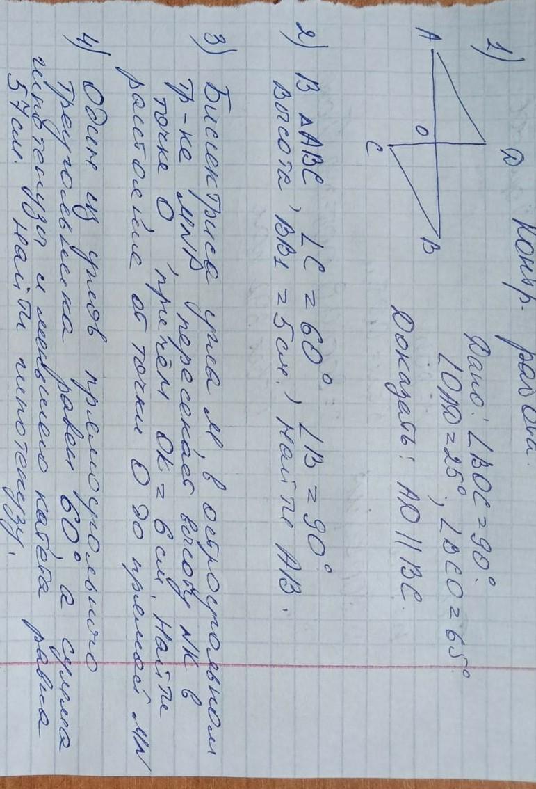
помогите пожалуйста с геометрией! (7 класс) через 1 час сдавать!​

Приложения:

Ответа на этот вопрос пока нет. Попробуйте найти его через форму поиска.

Вас заинтересует