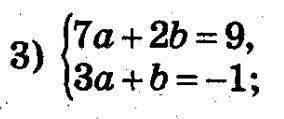
Ребята помогите пожалусто срочно очень.Розв'яжіть методом підстановки систему рівнянь. Дайте відповіді на два питання.
1)Виразіть змінну а через b або b через a.Запишіть відповідний вираз.
2)Запишіть відповідь системи
Приложения:

Ответа на этот вопрос пока нет. Попробуйте найти его через форму поиска.
Вас заинтересует
2 года назад
2 года назад
3 года назад
8 лет назад
9 лет назад