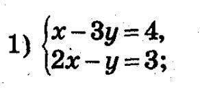
Ребята помогите пожалусто срочно оченььь.Решите методом подстановки систему уравнений. Ответьте на два вопроса.
1) Выразите переменную х из в или в связи х.Запишить соответствующее выражение.
2) Запишите ответ системы
Приложения:

Ответа на этот вопрос пока нет. Попробуйте найти его через форму поиска.
Вас заинтересует
2 года назад
3 года назад
3 года назад
8 лет назад
9 лет назад
9 лет назад